電界と磁界
電界とは
電界とは電荷によるクーロン力が働いている空間のことです。
空間に帯電した物体(正電荷が負電荷より多い物体、または負電荷が正電荷より多い物体)を置くと、電界が発生します。そして電界に電荷を置くと、電界の働きによりその電荷に力がかかります。
電界は電界を発生している電荷から遠ざかるほど、電界の影響が小さくなります。
電荷と磁荷
電界における電荷に対応するものとして、磁界における磁荷というものが考えられました。電荷と磁荷は力の働き方などの考え方がよく似ています。
ただし、電荷と磁荷で大きく異なる点があります。電荷が正電荷単体、負電荷単体で存在するのに対し、磁荷は正磁荷(N極)単体、負磁荷(S極)単体で存在することは確認されていないということです。
磁石は、図1のようにどんなに細かく切っていっても、N極とS極が別々になることはなく、N極とS極が1セットになります。しかし、N極単体、S極単体で存在すると考えたほうが、電荷のように磁気現象を考える際にわかりやすいため、正磁荷と負磁荷が存在するものとして考えます。
図1

電界と磁界の対比
電界と磁界は、考え方がよく似ています。
電界は電荷によるクーロン力が働く空間のことで、磁界は磁荷によるクーロン力が働く空間です。
それ以外にも下表のように考え方の共通点があります。
| 電界 | 磁界 |
| 電界とは電荷によるクーロン力が働く空間 | 磁界とは磁荷によるクーロン力が働く空間 |
| 電荷 | 磁荷 |
| プラス/マイナス | N極/S極 |
| 電気力線 | 磁力線 |
| 電束D[C] | 磁束φ[Wb] |
| 電束密度D[C/u] | 磁束密度B[T] |
| D=εE | B=μH |
| 真空の誘電率ε=8.854×10-12 | 真空の透磁率μ=4π×10-7 |
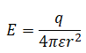
電界の強さ![]() |
磁界の強さ![]() |
クーロンの静電界の法則![]() |
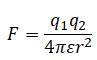
クーロンの静磁界の法則![]() |
TOPページに戻る
サイト内検索
電気の基礎
電気とはなにか
電気の歴史
電荷
電気力線と電束
原子と分子と電子
電気の回路と水の回路
電流とは
電圧とは
抵抗とは
電力と電力量
直列・並列接続の合成抵抗
分圧と分流
直流と交流
正弦波交流
抵抗・リアクタンス・インピーダンス
電界と磁界
磁荷
磁力線と磁束
磁気ヒステリシス
コイルとインダクタンス
コンデンサと静電容量
共振
力率と皮相・有効・無効電力
零相電流とI0r・I0c
3相交流
ベクトル図の使い方
電線にとまった鳥が感電しない理由
需要率と負荷率と不等率
パーセントインピーダンス法(%Z)
ホイートストンブリッジ
スターデルタ変換・デルタスター変換
電圧降下
過渡現象
過渡現象(R-L直列回路)
過渡現象(R-C直列回路)
電気とはなにか
電気の歴史
電荷
電気力線と電束
原子と分子と電子
電気の回路と水の回路
電流とは
電圧とは
抵抗とは
電力と電力量
直列・並列接続の合成抵抗
分圧と分流
直流と交流
正弦波交流
抵抗・リアクタンス・インピーダンス
電界と磁界
磁荷
磁力線と磁束
磁気ヒステリシス
コイルとインダクタンス
コンデンサと静電容量
共振
力率と皮相・有効・無効電力
零相電流とI0r・I0c
3相交流
ベクトル図の使い方
電線にとまった鳥が感電しない理由
需要率と負荷率と不等率
パーセントインピーダンス法(%Z)
ホイートストンブリッジ
スターデルタ変換・デルタスター変換
電圧降下
過渡現象
過渡現象(R-L直列回路)
過渡現象(R-C直列回路)
発電・送配電・受変電
原子力発電の仕組み
水力発電の仕組み
火力発電の仕組み
太陽光発電の仕組み
関東と関西で周波数が違う理由
なぜ交流送電なの?
停電
瞬時電圧低下
受電方式
スポットネットワーク受電方式の仕組み
ループ受電方式の仕組み
進相コンデンサと力率割引
遮断器と開閉器と断路器
開閉サージ
GIS(ガス絶縁開閉装置)
UGS・UAS・PGS・PAS
保護継電器
変圧器(トランス)
励磁突入電流
接地(アース)
統合接地
接地用補償コンデンサ
電源冗長化
フェランチ効果
原子力発電の仕組み
水力発電の仕組み
火力発電の仕組み
太陽光発電の仕組み
関東と関西で周波数が違う理由
なぜ交流送電なの?
停電
瞬時電圧低下
受電方式
スポットネットワーク受電方式の仕組み
ループ受電方式の仕組み
進相コンデンサと力率割引
遮断器と開閉器と断路器
開閉サージ
GIS(ガス絶縁開閉装置)
UGS・UAS・PGS・PAS
保護継電器
変圧器(トランス)
励磁突入電流
接地(アース)
統合接地
接地用補償コンデンサ
電源冗長化
フェランチ効果
法則・定理
オームの法則
クーロンの法則
キルヒホッフの法則
ファラデーの法則・レンツの法則
フレミングの法則
ミルマンの定理
テブナンの定理
ガウスの定理
重ね合わせの理
アンペア周回積分の法則
ビオ・サバールの法則
オームの法則
クーロンの法則
キルヒホッフの法則
ファラデーの法則・レンツの法則
フレミングの法則
ミルマンの定理
テブナンの定理
ガウスの定理
重ね合わせの理
アンペア周回積分の法則
ビオ・サバールの法則
資格試験過去問題
第3種電気主任技術者 理論
第3種電気主任技術者 電力
第3種電気主任技術者 機械
第3種電気主任技術者 法規
第2種電気主任技術者 1次理論
第1種電気主任技術者 1次理論
第1種電気主任技術者 1次電力
第1種電気主任技術者 1次機械
第1種電気主任技術者 1次法規
第1種電気主任技術者2次試験 電力・管理
第1種電気主任技術者2次試験 機械・制御
エネルギー管理士(電気) 電気の基礎
技術士一次試験 共通科目数学
技術士一次試験 共通科目物理
技術士一次試験 共通科目化学
技術士一次試験 基礎科目
技術士一次試験 電気電子部門 専門科目
技術士一次試験 適性科目
技術士二次筆記試験 電気電子部門 必須科目
技術士二次筆記試験 電気電子部門 選択科目 発送配変電
技術士二次筆記試験 電気電子部門 選択科目 電気応用
技術士二次筆記試験 電気電子部門 選択科目 電子応用
技術士二次筆記試験 電気電子部門 選択科目 情報通信
技術士二次筆記試験 電気電子部門 選択科目 電気設備
技術士二次筆記試験 総合技術監理部門 必須課目
第3種電気主任技術者 理論
第3種電気主任技術者 電力
第3種電気主任技術者 機械
第3種電気主任技術者 法規
第2種電気主任技術者 1次理論
第1種電気主任技術者 1次理論
第1種電気主任技術者 1次電力
第1種電気主任技術者 1次機械
第1種電気主任技術者 1次法規
第1種電気主任技術者2次試験 電力・管理
第1種電気主任技術者2次試験 機械・制御
エネルギー管理士(電気) 電気の基礎
技術士一次試験 共通科目数学
技術士一次試験 共通科目物理
技術士一次試験 共通科目化学
技術士一次試験 基礎科目
技術士一次試験 電気電子部門 専門科目
技術士一次試験 適性科目
技術士二次筆記試験 電気電子部門 必須科目
技術士二次筆記試験 電気電子部門 選択科目 発送配変電
技術士二次筆記試験 電気電子部門 選択科目 電気応用
技術士二次筆記試験 電気電子部門 選択科目 電子応用
技術士二次筆記試験 電気電子部門 選択科目 情報通信
技術士二次筆記試験 電気電子部門 選択科目 電気設備
技術士二次筆記試験 総合技術監理部門 必須課目
Copyright (C) DENKIMAN. All Rights Reserved.




