直列・並列接続の合成抵抗
直列接続した抵抗の合成
図1は抵抗Ra、Rb、Rcの直列接続の図です。
図1

直列接続の合成抵抗Rxは、

となります。
並列接続した抵抗の合成
図2は抵抗Ra、Rb、Rcの並列接続の図です。
図2

並列接続の合成抵抗Rxは、

となります。
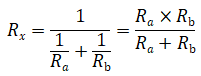
ちなみに図3のように抵抗2個の並列接続の場合は、

として計算したほうが早いです。この式は積/和(和分の積)と呼びます。
図3

図4のように抵抗が3つ以上の場合は和分の積は使用できません。
図4

TOPページに戻る
サイト内検索
電気の基礎
電気とはなにか
電気の歴史
電荷
電気力線と電束
原子と分子と電子
電気の回路と水の回路
電流とは
電圧とは
抵抗とは
電力と電力量
直列・並列接続の合成抵抗
分圧と分流
直流と交流
正弦波交流
抵抗・リアクタンス・インピーダンス
電界と磁界
磁荷
磁力線と磁束
磁気ヒステリシス
コイルとインダクタンス
コンデンサと静電容量
共振
力率と皮相・有効・無効電力
零相電流とI0r・I0c
3相交流
ベクトル図の使い方
電線にとまった鳥が感電しない理由
需要率と負荷率と不等率
パーセントインピーダンス法(%Z)
ホイートストンブリッジ
スターデルタ変換・デルタスター変換
電圧降下
過渡現象
過渡現象(R-L直列回路)
過渡現象(R-C直列回路)
電気とはなにか
電気の歴史
電荷
電気力線と電束
原子と分子と電子
電気の回路と水の回路
電流とは
電圧とは
抵抗とは
電力と電力量
直列・並列接続の合成抵抗
分圧と分流
直流と交流
正弦波交流
抵抗・リアクタンス・インピーダンス
電界と磁界
磁荷
磁力線と磁束
磁気ヒステリシス
コイルとインダクタンス
コンデンサと静電容量
共振
力率と皮相・有効・無効電力
零相電流とI0r・I0c
3相交流
ベクトル図の使い方
電線にとまった鳥が感電しない理由
需要率と負荷率と不等率
パーセントインピーダンス法(%Z)
ホイートストンブリッジ
スターデルタ変換・デルタスター変換
電圧降下
過渡現象
過渡現象(R-L直列回路)
過渡現象(R-C直列回路)
発電・送配電・受変電
原子力発電の仕組み
水力発電の仕組み
火力発電の仕組み
太陽光発電の仕組み
関東と関西で周波数が違う理由
なぜ交流送電なの?
停電
瞬時電圧低下
受電方式
スポットネットワーク受電方式の仕組み
ループ受電方式の仕組み
進相コンデンサと力率割引
遮断器と開閉器と断路器
開閉サージ
GIS(ガス絶縁開閉装置)
UGS・UAS・PGS・PAS
保護継電器
変圧器(トランス)
励磁突入電流
接地(アース)
統合接地
接地用補償コンデンサ
電源冗長化
フェランチ効果
原子力発電の仕組み
水力発電の仕組み
火力発電の仕組み
太陽光発電の仕組み
関東と関西で周波数が違う理由
なぜ交流送電なの?
停電
瞬時電圧低下
受電方式
スポットネットワーク受電方式の仕組み
ループ受電方式の仕組み
進相コンデンサと力率割引
遮断器と開閉器と断路器
開閉サージ
GIS(ガス絶縁開閉装置)
UGS・UAS・PGS・PAS
保護継電器
変圧器(トランス)
励磁突入電流
接地(アース)
統合接地
接地用補償コンデンサ
電源冗長化
フェランチ効果
法則・定理
オームの法則
クーロンの法則
キルヒホッフの法則
ファラデーの法則・レンツの法則
フレミングの法則
ミルマンの定理
テブナンの定理
ガウスの定理
重ね合わせの理
アンペア周回積分の法則
ビオ・サバールの法則
オームの法則
クーロンの法則
キルヒホッフの法則
ファラデーの法則・レンツの法則
フレミングの法則
ミルマンの定理
テブナンの定理
ガウスの定理
重ね合わせの理
アンペア周回積分の法則
ビオ・サバールの法則
資格試験過去問題
第3種電気主任技術者 理論
第3種電気主任技術者 電力
第3種電気主任技術者 機械
第3種電気主任技術者 法規
第2種電気主任技術者 1次理論
第1種電気主任技術者 1次理論
第1種電気主任技術者 1次電力
第1種電気主任技術者 1次機械
第1種電気主任技術者 1次法規
第1種電気主任技術者2次試験 電力・管理
第1種電気主任技術者2次試験 機械・制御
エネルギー管理士(電気) 電気の基礎
技術士一次試験 共通科目数学
技術士一次試験 共通科目物理
技術士一次試験 共通科目化学
技術士一次試験 基礎科目
技術士一次試験 電気電子部門 専門科目
技術士一次試験 適性科目
技術士二次筆記試験 電気電子部門 必須科目
技術士二次筆記試験 電気電子部門 選択科目 発送配変電
技術士二次筆記試験 電気電子部門 選択科目 電気応用
技術士二次筆記試験 電気電子部門 選択科目 電子応用
技術士二次筆記試験 電気電子部門 選択科目 情報通信
技術士二次筆記試験 電気電子部門 選択科目 電気設備
技術士二次筆記試験 総合技術監理部門 必須課目
第3種電気主任技術者 理論
第3種電気主任技術者 電力
第3種電気主任技術者 機械
第3種電気主任技術者 法規
第2種電気主任技術者 1次理論
第1種電気主任技術者 1次理論
第1種電気主任技術者 1次電力
第1種電気主任技術者 1次機械
第1種電気主任技術者 1次法規
第1種電気主任技術者2次試験 電力・管理
第1種電気主任技術者2次試験 機械・制御
エネルギー管理士(電気) 電気の基礎
技術士一次試験 共通科目数学
技術士一次試験 共通科目物理
技術士一次試験 共通科目化学
技術士一次試験 基礎科目
技術士一次試験 電気電子部門 専門科目
技術士一次試験 適性科目
技術士二次筆記試験 電気電子部門 必須科目
技術士二次筆記試験 電気電子部門 選択科目 発送配変電
技術士二次筆記試験 電気電子部門 選択科目 電気応用
技術士二次筆記試験 電気電子部門 選択科目 電子応用
技術士二次筆記試験 電気電子部門 選択科目 情報通信
技術士二次筆記試験 電気電子部門 選択科目 電気設備
技術士二次筆記試験 総合技術監理部門 必須課目
Copyright (C) DENKIMAN. All Rights Reserved.
